Loading content...
Wed Jan 14 2026
- views
Failed Impurities/Degradation Specifications: Due to levels of 'Diester Impurity' exceeding the specification limit.
| Drug | Manufacturer |
|---|---|
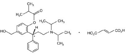
| FESOTERODINE FUMARATE | Alembic Pharmaceuticals Inc. |
Info not provided.
US Nationwide and PR.
| UPC |
|---|
| 0362332176304 |
| 0362332175307 |
| NDC |
|---|
| 62332-175-30 |
| 62332-175-90 |
| 62332-175-91 |
| 62332-175-10 |
| 62332-176-30 |
| 62332-176-90 |
| 62332-176-91 |
| 62332-176-10 |
| 2405003360 |
1 views
Comments (-)
Must be signed in to post a comment.