Loading content...
Wed Jan 21 2026
- views
Failed Impurities/Degradation: Out of Specification results for Total Impurities and for Assay.
| Drug | Manufacturer |
|---|---|
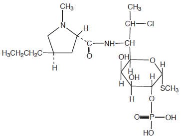
| CLINDAMYCIN PHOSPHATE | Taro Pharmaceuticals U.S.A., Inc. |
Info not provided.
Nationwide in the USA.
Info not provided.
| NDC |
|---|
| 51672-4081-3 |
| 51672-4081-4 |
1 views
Comments (-)
Must be signed in to post a comment.